干旱和盐化是最为常见且并发的非生物胁迫因子,极大地限制着植物的生产力水平。随着气候变化和人们对土地、水和能量等资源需求的与日俱增,这些环境胁迫也将会越来越普遍。植物可以通过形态、生理生化、分子方面的调整来适应不同的环境胁迫。然而,近期综述表明,植物的诸上变化对于环境复合胁迫的响应是独一无二的,并不能由相同的单一胁迫下其自身变化直接推断而来。因此,系统研究复合胁迫对于了解植物的生态意义和发展可持续生产力的策略十分重要。
竹类作为一种可更新资源不仅在森林生态系统中扮演着十分重要的角色。它们主要分布在热带、亚热带和温带地区,总面积达31.5 Mha,约占禾本科13%属(87/660)、15%种(1500/10000)。中国竹类面积达6.7 Mha,约占39属500余种。然而,由于竹类特殊的有性繁殖间隔和有限的种子传播能力,使得它们对环境条件的改变(如干旱、盐化等)极其敏感。目前,针对单一环境胁迫对竹类形态的影响已有报道,但缺乏从形态和生理生化方面系统的响应机制研究。
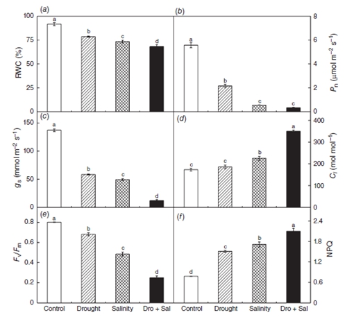
版纳植物园农林复合生态系统研究组刘成刚助理研究员以青川箭竹(Fargesia rufa)为研究对象,从光保护和抗氧化过程的角度出发,系统地研究其对干旱和盐胁迫的响应过程。结果表明:
1) 干旱胁迫对青川箭竹植株的伤害较小,主要原因与其此时具有较高的热耗散和水水循环能力,同时提高了SOD和AsA-GSH循环过程中抗氧化酶的活性,并维持了AsA/GSH的氧化还原平衡等密切相关;
2) 相比之下,盐胁迫和干旱+盐胁迫对青川箭竹植株的伤害较大,表现在光化学活性的急剧下降,甚至失活,以及严重的氧化损害(特别是叶绿体和线粒体结构被破坏),尽管此时零星的保护过程,如GSH氧化还原状态被激活。
综上,青川箭竹能够高效地激活其光保护过程以应对干旱胁迫带来的损伤,从而在干旱缓解后加速其光合效能的恢复。此外,建议今后能够从细胞水平出发,加强竹类物种地上-地下光保护和抗氧化过程对不同复合胁迫的响应过程研究。
相关结果以Photoprotective and antioxidative mechanisms against oxidative damage in Fargesia rufa subjected to drought and salinity为题发表于Functional Plant Biology。本研究得到了国家自然科学基金(31470621, 31600507)和中国科学院“西部之光”项目的资助,在此表示感谢。

干旱和盐胁迫对青川箭竹水分和相关光合参数的影响
