科研动态当前位置:首页 > 科研动态

沿海拔梯度的雀形目鸟类群落构建机制


结合生物多样性的不同方面是探讨不同空间和时间尺度揭示群落构建机制的一个重要方法,但目前结合物种、功能性状和系统发育多样性对于鸟类群落构建机制的研究还鲜有报道,基于系统发育或者功能性状的研究也主要集中在部分类群。对于具有明显季节性物种组成变化的温带鸟类群落,不同季节间鸟类群落构建的主导生态过程是否会有变化是值得探讨的生态学议题。 

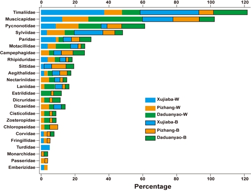
  版纳植物园群落构建与物种共存研究组和雪莲助理研究员分别在鸟类繁殖期和越冬期调查了哀牢山北段西坡沿海拔梯度分布的鸟类群落,选择雀形目物种分析了群落物种、功能性状及系统发育多样性,并构建零模型获得雀形目鸟类群落功能性状及系统发育结构。功能性状和系统发育结构分析均表明:不论在繁殖期和越冬期,环境过滤为高海拔雀形目鸟类群落构建的主导生态过程,而竞争排斥在低海拔雀形目鸟类群落构建更为重要。同时,该研究发现,在所有海拔梯度,竞争排斥作用在繁殖期雀形目鸟类群落构建中均倾于增强,而环境过滤作用减弱,这可能是繁殖期鸟类可利用资源增加但随之的繁殖竞争相关。 

  研究结果以A taxonomic, functional, and phylogenetic perspective on the community assembly of passerine birds along an elevational gradient in southwest China为题在线发表于生态学国际期刊Ecology and Evolution. 本研究得到国家自然科学基金-青年科学基金(31500344),中国科学院135项目(2017XTBG-T01)以及中国科学院东南亚生物多样性研究中心项目(2015CASEABRI004)的资助。感谢哀牢山生态系统研究站对本研究的支持。 

 

  

沿哀牢山海拔梯度分布的雀形目鸟类群落物种组成,W为越冬期,B为繁殖期