植物与植食性昆虫的相互作用是驱动植物防御性状进化的重要动力。在已有的研究中,大多关注单一性状受植食昆虫的进化选择,或者不同性状之间的权衡。防御综合征(Defensive syndrome)是指植物可以通过多个性状组合,实现更加有效的防御,而这种防御综合征是否也可能受到植食昆虫的选择进化,至今缺乏实证研究。版纳植物园动植物关系研究组助理研究员赵瑾在陈进研究员的指导下,利用版纳植物园榕树同质园研究平台,通过多种研究手段,证实了榕树长期演化历史中确实存在防御综合征进化,研究结果以“Macroevolution of defense syndromes in Ficus (Moraceae)”为题在线发表于国际学术期刊Ecological Monographs。
该研究从版纳植物园榕树园中选取不同生活型的36种榕属植物为研究对象,结合榕属植物的系统发育关系在不同季节(旱季、雨季)对其9种防御性状与被昆虫取食程度开展了为期2年的研究,同时结合榕树与其植食性昆虫的相互作用关系网络,探讨了榕属植物防御综合征的进化。研究结果显示,根据防御性状关联性可检测出3组防御综合征,且其与榕树生活型密切相关:附生榕树叶片营养水平低且富含单宁,地生榕树叶片叶毛密度高同时胶内富含生物碱,半附生榕树叶片比叶面积、含水量与胶干重较高。当去除季节与植物种间差异的影响后,高碳氮比与高胶乳单宁含量这两个性状的组合仍然显著高于任何单一性状的防御水平。不同的榕树叶片性状呈现不同的进化策略,如胶单宁、碳氮比与叶单宁含量符合布朗运动进化模型,其中胶单宁和碳氮比进化过程中显示出增强趋势,其他防御性状系统发育信号相对较弱。研究结果支持植食昆虫可以驱动榕属植物防御综合征进化。
该研究全部材料来自于版纳植物园榕树园,体现了植物园专类园对科学研究的支撑作用。研究得到国家自然科学基金(U1402264, 31300369)和版纳植物园一三五项目(2017XTBG-T01)资助,版纳植物园公共技术中心帮助样品化学分析。英国Harper Adams大学Simon T. Segar 博士和法国Montpellier大学Doyle McKey教授参加了该研究工作。

昆虫啃噬榕树叶子
榕树与植食性昆虫的相互作用网络
上层紫色表示专性昆虫,绿色表示泛性昆虫;下层黑色条表示榕树物种,红色圆圈表示附生榕树,黄色圆圈表示半附生榕树,蓝色圆圈表示地生榕树
不同榕树防御性状在系统发育树中的分布及受到进化选择的影响
背景无颜色表明受到的进化选择不显著,背景有颜色代表进化选择显著,其中,紫色符合布朗运动模型、绿色符合Lambda模型
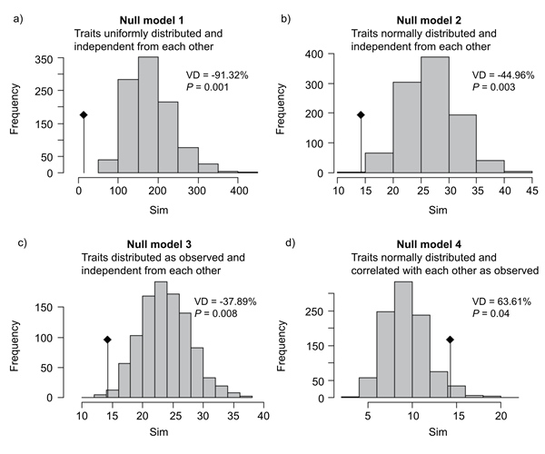
榕树性状进化三维模型与四个理论零模型的比较
小于零模型1(a),小于零模型2(b),小于零模型3(c),大于零模型4(d);榕树性状进化三维模型以实心钻石表示;VD表示榕树性状三维模型与零模型体积之差
